MODULATED LIGHT DX RECEIVER CIRCUITRY.
(with a foreword note by Chris Long & Mike Groth VK7MJ):
Which type of modulated light receiver should one use? A photodiode straight into a high gain, high impedance amplifier? A photodiode into a current amplifier? A back-biased photodiode? FET input or bipolar? IC or discrete? How does one minimise noise while maximising amplification? Which circuit provides the best linearity of light flux input/voltage output? The answers are complex and conditional...
For modulated light detection at visual wavelengths, the best and simplest options are silicon PIN or avalanche photodiodes for orange, red and IR; and photomultipliers for violet-blue-green. Phototransistors are far too noisy, as they amplify their own internal noise - we estimate around 15 to 20 dB worse s/n than an average Si photodiode/amp of similar sensitive area. LDR's are generally too slow, silicon solar cells are noisy and slow, thermionic photocells are mostly too low in quantum efficiency - and if they're gas filled they can also be too slow. This narrows down the options.
The options narrow further when one considers the special requirements of atmospheric optical communication. The red end of the visual spectrum has the greatest immunity to scattering by smoke and fog, and is subject to less atmospheric turbulence scintillation than blue or violet light. Red-sensitive silicon photodiodes typically retail for between US$2 and US$30 while photomultipliers or avalanche photodiodes can cost fifty times that amount. Photomultipliers with GaAs photocathodes have good response to red light but they're rarely available on the secondhand or surplus market. The vast majority of photomultipliers are only sensitive to violet, blue and green light (S4 and S11 photocathodes). Even with the S20 photocathode, photomultiplier quantum efficiency at the 630 nM wavelength of the red Luxeon source is only 4%, comparing poorly with a typical silicon PIN diode's 50% at the same wavelength. The photomultiplier also requires a bulky power supply, typically delivering 1 KV to a resistive divider consuming several tens of milliamps. Apart from the danger of the voltages, this tends to tie you to a mains power supply. Chris Long has used these receivers on many occasions in the 1970s, though mostly for demodulating light from a mercury vapour arc lamp at the blue and ultraviolet end of the spectrum. See details in his January 1979 Australian 'Amateur Radio' article 'Optical Communications for the Amateur', reproduced elsewhere on this web site.
Silicon photodiode theory was excellently covered in a 1979-vintage pamphlet issued by 'EG&G Electro-Optics', reproduced here. This was solicited by Chris Long while surveying 'alternative' power generation systems (ie. solar, wind and small hydro) at the Tasmanian University's Centre for Environmental Studies late in 1979. The document emphasises the major differences between solar cells and instrumentation photodiodes suitable for low-light applications, including modulated light DX.
We have not been able to trace the author of this document, and no author credit is given. If he or she would like to add their name to it or otherwise modify the content, please contact us via vocalion1928@hotmail.com and we'll try to do justice to you! Our efforts to trace the originating section of EG&G has borne little fruit, as they appear to have changed their research emphasis and corporate identity several times since 1979, with a major corporate takeover occurring in 1999. The paper was obviously written by an expert in photodiode theory and application. Its reliance on fundamental principles and accurate mathematical analyses ensures that its information can never be 'out of date'.
Please take particular note of this quote:
"Below 100 kHz, the PV photodiode provides better signal-to-noise performance than that obtained from an equivalent active area PC [photoconductive] photodiode; below 1 kHz, the PV silicon photodiode is far superior in signal-to-noise performance".
This confirms that with minimal background light, the unloaded "photovoltaic" system of photodiode operation (similar to the 'night operation' receiving circuit of K3PGP) provides the least noise figure for baseband audio modulation up to around 10 KHz. Some adjustment of R1 and R2 may be needed to optimise the circuit voltages. Refer the K3PGP receiver circuit below, or his web site:

Yves, F1AVY, near Lyon in France, has been kind enough to analyse the circuit above. He tells us that at very low light levels, the leakage from the gate of the FET is typically 500 gigaohms, and the leakage resistance of some of the best small P-I-N photodiodes (eg the S2386-18K) is near 100 gigahoms. In absolute darkness, with the best and smallest photodiodes, and particularly at low temperatures of operation, this would provide a reverse bias on the photodiode of perhaps 0.7 volt. The diagrams below, drawn for us by Yves F1AVY, explains this circuit's operation:
However, at these incredibly high impedances, the slightest light on the PD, or the slightest insulation leakage, would shunt this FET gate voltage to earth. It is, in Yves' description, a 'photoconductive' circuit but only at the very lowest light levels, above which its performance is almost wholly photovoltaic.
If response is required beyond about 20 KHz bandwidth, or with photodiodes larger than 2 mm2, operation into a FET-input transimpedance (negative feedback) current pre-amp of the type used by Steve Noll WA6EJO and ourselves is recommended. This would be rather more linear and immune to stray light than K3PGP's PV system, if not quite so sensitive. Steve (refer the WA6EJO website) suggests the AD743JN as an alternative to the LT1055CN8 pre-amp IC, after actual trials of his laser receiver unit. The bandpass filter (Toko THB111A) is an optional refinement, while many audio output ICs such as the LM386 would provide equal results to the LM380 (typical circuit below):
The circuit used by both authors of this web page (see below) was adapted by Mike Groth VK7MJ in 1988 from a low light detection system used in nuclear medicine. It's a transimpedance circuit using feedback and a small amount of reverse PD biasing to maximise bandwidth without significantly increasing the noise figure.
Discrete componentry was used, as in the late 1980s we felt more confident of achieving a low noise figure this way than with IC's. This was mostly the result of our reading 'Amplifier Noise' by Lloyd Butler VK5BR in Australian 'Amateur Radio' magazine, November 1985 pps 18 to 21. Lloyd systematically tested a series of 'better' ICs and found that careful design with discrete circuitry could then provide substantially better noise figures than ICs. The table below (ibid, p.19) summarises his findings:

In all probability, the decision to go IC or discrete today probably doesn't matter so much, as the noise from the photodiode will probably predominate at room temperature. Modern ultra-low-noise FET input IC's like the LT1055CN8 or the AD743JN, tested as optical receiver amps by WA6EJO would probably be as good as our discrete circuit, for all practical purposes.
Our circuit was designed to operate from a single-ended 12 volt (or 13.8 volt) power supply, to standardise on a single car battery or gel-cell while we're on our mountain-top DX-peditions. The last thing that one needs on a sub-freezing mountain top at night, particularly in remote regions only accessible on foot, are multiple battery supplies with differing polarities and voltages - particularly if one battery has gone flat, thereby laying waste to the entire expedition! In portable operation, split rail power supplies are a pain in the neck !!
Our amplifier/receiver is a compromise approach, probably not quite as sensitive as the K3PGP circuit, but it does seem to be very linear in transfer characteristic, with flat response to around 30 kHz when it's used with most smaller photodiodes. This high frequency limit could easily be extended to several hundred kilohertz, at the expense of some sensitivity, by reducing the pre-amp's feedback resistor. This receiver's noise figure may not be absolutely optimal, but we've used it for atmospheric optical comms over the last 15 years in Australia, setting a local 43 km record with it in 1991 (Sunbury to East Hawthorn, Victoria), and achieving 167 km with it (Mt Barrow - Mt Wellington, Tasmania) on 19 February 2005:

NOTES ON THE RECEIVER CIRCUIT, ABOVE: To increase sensitivity without significantly raising the receiver noise, the feedback resistor could be greatly increased for baseband audio demodulation requiring a top frequency of only 3 KHz. Depending on the junction capacitance of the photodiode, the value of Rf could probably be raised to 50 or even 100 megohms with sig/noise benefit, sacrificing the overload level of light flux and speed of response. Yves, F1AVY comments:
'If you increase the 20 M resistor to 80 M, you get a 6 dB s/n improvement in darkness. The thermal noise goes up by two, while the signal goes up by a factor of four - so the useful signal voltage doubles.'
This, of course, depends on the self-capacity of the P-I-N photodiode used. The limit to raising the feedback resistor is set by the high-frequency response of the system degrading beyond the point where speech modulation (3 KHz) can be adequately accommodated. The value of Rf must be optimised for each photodiode.
The optical receiver's overload light level, linearity and response speed all degrade as the value of feedback resistor is increased. The quality of receiver shielding, insulation resistance, stray input capacitance, and feedback resistor self-capacity also become more critical. Owing to the stray self-capacity of resistors, the feedback resistor should be made by soldering a several small 10M resistors in series with short lead lengths, rather than by using one resistor of very high ohmic value.
For immunity from RF leakage and capacitively induced 50 Hz hum, the whole receiver circuit should be carefully constructed with short leads in the smallest possible space, shielded in a metal box with a single earthing point near the photodiode. The larger the box, the more chance there is to pick up induced circulating earth currents in the chassis, and that can be a problem if you're operating near VHF or UHF transmitting equipment. The metal shielding box should have a small aperture to admit received light to the photodiode's active area, and all leads out of the box - power and audio - should have earthed coaxial shielding. Do not forget to bypass all DC supply leads with 0.01 µF disc ceramics, as in our experience many DX tests have to be made on mountain-tops in close proximity to RF sources. Summits with road access attract TV transmission towers - which is an extreme source of annoyance to optical DXers! Our 167 km record was carried out very close to the main TV towers of Launceston and Hobart. At the Mount Barrow (Launceston) end, on the suggestion of Jason Reilly VK7ZJA, we stood right at the foot of the city's broadcast TV tower, on the side away from the transmission line feeders. In this way we successfully stood in an RF null from the TV transmitting antennae, which were almost directly above us.
For daytime operation of the receiver circuit, the DC coupling from the photodiode becomes a liability as scattered ambient daylight received by the photodiode will probably shift the amplifier's DC conditions to cutoff. In this case, the modified input circuit shown on the lower left of the main circuit diagram is desirable. Capacitive coupling from the photodiode to the input FET's gate becomes desirable, though this increases stray capacities and noise from the extra input resistor and capacitor required.
One of the most sensitive and cheapest silicon photodiodes for 630 nM radiation so far tested, though unfortunately one of the slowest, is the BPW34:

A PHOTO OF THE 7MJ OPTICAL RECEIVER UNDER CONSTRUCTION is seen below, the circuit board side above and the objective lens side below, with an extra LM386 speaker amplifier on a sub-board on the left. Please note that the matrix board has been cut away in the vicinity of the input FET's gate to reduce the chance of moisture leakage at that high resistance feed point. The "feedback capacitor" is the twisted yellow insulated wire in the centre of the main board. The photodiode in this case is the IPL10043:

Want further information on this circuit? E-mail Chris Long on vocalion1928@hotmail.com or phone him on Australia (Melbourne) (03) 9890 8164 --- but please check international time differences and phone in the afternoon or evening, Eastern Australian time. My wife and I both work odd hours (she's a night-shift nurse, he's a journalist/researcher) but there's always an answering machine on line...

---------------------------------------------
EG & G ELECTRO-OPTICS, SALEM, MASS.
Application note D3011C-3 (October 1979).
On silicon photovoltaic (photodiode) detectors and detector/amplifier combinations.
INTRODUCTION
Regardless of claims to the contrary, the silicon PHOTOVOLTAIC detector is not a new concept in the detection of light power and energy. The PHOTOVOLTAIC mode has been utilized for many years by space system designers who required a stable light-to-voltage converter for solar power supplies. Although the transition from solar power converter to linear light detector is a simple problem when viewed on paper, it has, in practice, created serious problems for the designer. The confusion and misconceptions relative to PHOTOVOLTAIC operation that prevail today in the electro-optics industry have evolved from unsuccessful attempts to employ solar-type detectors in light measurement applications. Based on a minimal performance detector, these efforts have created an engineering cult whose hardened concept of PHOTOVOLTAIC silicon is synonymous with "high noise", "nonlinearity", and "limited dynamic range". EG&G has developed a series of silicon PHOTOVOLTAIC detectors which feature low noise, linearity of operation, and a wide dynamic range. What remains is a re-education process to convince electro-optic designers that PHOTOVOLTAIC silicon can produce new dimensions in the detection and measurement of light.
PHOTOVOLTAIC OPERATION
When a silicon p-n junction is operated with no externally applied voltage, it is considered to be operating in the PHOTOVOLTAIC mode. Under this zero applied voltage condition and low levels of incident light, the p-n junction will generate a current proportional to the light power incident on the active surface. This photon induced current, or photocurrent, will divide between the diode internal junction resistance and the parallel load resistance. The direction of photocurrent flow in the external circuit will produce a voltage across the load resistor that will act as a forward bias on the p-n junction. It is this external voltage source, created by the combination of light power, junction resistance, and load resistor that defines and limits the performance of a PHOTOVOLTAIC p-n junction as a linear light detector.
Figure 1 displays a typical CURRENT/VOLTAGE characteristic for a silicon PHOTOVOLTAIC detector and illustrates the various operating modes that can be encountered with this type of device. At very low values of load resistance, the voltage developed across the load resistor, even at high values of irradiance, is insignificant and fails to produce any detrimental effects in device performance. This operating mode is referred to as the SHORT CIRCUIT operating mode.
The load resistor voltage resulting from the combination of high load resistance and high irradiance level creates a hard forward bias on the p-n junction which remains relatively constant for increasing levels of irradiance. This operating mode is referred to as the CONSTANT VOLTAGE or OPEN CIRCUIT mode. Combinations of load resistance and irradiance levels can produce circuit conditions where the p-n junction operates somewhere between the OPEN and SHORT CIRCUIT mode. Under these conditions the load voltage follows a pseudo-logarithmic relationship with respect to linear increments of light power.

The dynamic impedance of the PHOTOVOLTAIC p-n junction is defined by the slope of the dark I/V characteristic as it passes through zero volts. Because this impedance shunts the load resistance and photocurrent source in the electrical equivalent circuit, it is commonly referred to as the SHUNT RESISTANCE. It is the magnitude of this device characteristic that separates the silicon solar cell from EG&G's silicon PHOTOVOLTAIC light detector.
In solar cell applications the designer is concerned primarily with "power transfer efficiency" as defined by the ratio of "electrical power delivered to the load" to the solar "light power incident on the active surface". An optimum condition for maximum power transfer occurs when the load resistance is matched to the shunt resistance. The silicon resistivity and manufacturing techniques utilized by solar cell manufacturers produce a device that has a peak responsivity in the 500-700 nanometer range but, more importantly, has a shunt resistance that is typically 10K ohms. Although this low value of shunt resistance is optimally suited for circuit load conditions experienced in solar cell applications, it is the cause of high noise, a limited linearity range, and a narrow dynamic operating range in light measurement applications.
PHOTOVOLTAlC (PV) VS. PHOTOCONDUCTIVE (PC)
The PHOTOCONDUCTIVE or reversed biased p-n device is designed to detect high speed light pulses or the high frequency modulation of a continuous light beam. The reverse voltage increases the junction field strength to accelerate electron/hole transit times and reduces the junction capacity, thereby minimizing capacitive loading effects on the frequency response. PC photodiodes operate over a frequency range from DC to 100 MHz with rise times in the 3 to 12 nanosecond range. The noise current generated by the PC photodiode is a combination of shot noise, excess noise, and, in the case of a guard ring device, Johnson noise. Shot noise is produced by the reverse bias current and exhibits a l/f excess noise characteristic below 1 kHz. The Johnson noise is generated by the channel resistance between the active and guard ring diodes.
The PHOTOVOLTAIC or zero bias detector is designed for ultra low noise, low frequency, instrument applications. The PV frequency response, shunt resistance and junction capacity are active area dependent. The equivalent noise current generated by the device at zero voltage is virtually a flat Johnson noise spectrum from DC to the cutoff frequency.
The design decision to use a PV or a PC photodiode is predicated primarily on the frequency response requirements of the given application. Below 100 kHz, the PV photodiode provides better signal-to-noise performance than that obtained from an equivalent active area PC photodiode; below 1 kHz, the PV silicon photodiode is far superior in signal-to-noise performance.
The EG&G series of PHOTOVOLTAIC light detectors has been optimised for wide spectral response and maximum responsivity. Figure 2 displays a typical PV spectral response having a peak responsivity of 0.47 Amperes/Watt at 0.95 micrometers. The deviation of spectral responsivity as a function of temperature is shown in Figure 3. From 0.40 to 0.95 micrometers, the deviation is less than 0.05% per degree Centigrade.

By utilizing proprietary manufacturing techniques, EG&G has enhanced the ultraviolet response of the planar diffused PV photodiode. This process enables the system designer to utilize an enhanced UV detector but retain the long term stabi1ity of a planar diffused device. The responsivity of the UV series photodiode, as shown in Figures 2 & 4, is about a factor of two better than other UV enhanced silicon photodiodes. A negative temperature coefficient of responsivity of less than 0.15% per degree Centigrade exists over the UV spectral range. It should be noted that the temperature coefficient of responsivity and shunt resistance in the UV enhanced PV photodiode produces a superior signal-to-noise performance at low operating temperatures as compared to room temperature.


SHUNT RESISTANCE
The quality of a silicon PV photodiode in terms of noise performance and response linearity is directly related to the magnitude of the shunt resistance. The shunt resistance value obtained for a given active area is the result of careful device processing and material selection. EG&G manufactures silicon PV photodiodes that have the highest shunt resistance per unit area currently available.
The shunt resistance, or dynamic junction resistance at zero voltage, is not only active area dependent, it is also temperature dependent. Figure 5 displays the expected variation of shunt resistance as a function of active area and Figure 6 shows the ratio of shunt resistance at some expected operating temperature to the actual shunt resistance at 25o Centigrade.


JUNCTION CAPACITY
The junction capacity of a silicon PV detector is active area dependent, and higher in value per unit active area than an equivalent area PC detector. The junction capacity at zero voltage is typically 3000 pf per square cm of active area and. for practical purposes, is not temperature dependent.
SERIES RESISTANCE
Series Resistance is the sum of contact resistance and bulk silicon resistance. The contact resistance in a carefully designed and processed unit is approximately 10 ohms. The resistance of the undepleted bulk silicon appears in series with the contact resistance and the load resistance across the junction of the PV photodiode. The value of the bulk silicon resistance is inversely proportional to the active area, and is characterized by approximately 6 ohm-sq. cm. of active area. The system designer should be aware that series resistance can become a very serious problem with very small active area devices by restricting the high end of the PV linear response range.
EQUIVALENT CIRCUIT
The electrical equivalent circuit for a PV photodiode is shown in Figure 7. The flow of photocurrent is in a direction so as to develop a load voltage which will forward bias the ideal diode. It is the development of this forward voltage across the ideal diode that limits the PV photodiode response linearity. The equivalent noise current generator is associated with the junction shunt resistance and follows a flat Johnson noise spectrum.

RESPONSE LINEARITY
Much has been said over the years about the response linearity of PV silicon photodiodes. General statements based on empirical evaluations have provided the technical hooks on which many a designer has hung his future. In order to form a more solid basis on which to predict response linearity performance, EG&G scientists have analysed the PV detector and reduced response linearity to a mathematical formula as follows:
The active area dependency of series and shunt resistance creates a singular linearity solution for each photodiode. Figure 8 is a graphical presentation of a 1% linearity equation for the various photodiode active areas normally encountered in instrument applications. A later section of this application note will discuss the extension of the PV response linearity range by the use of an operational amplifier.
NOISE CURRENT
The shunt resistance generates a thermal noise current that exhibits a flat noise vs frequency spectrum from DC to approximately the photodiode cut-off frequency. The RMS value of the noise current is inversely proportional to the square root of the shunt resistance as shown in the following Johnson noise formula:

It is the combination of very high shunt resistance and flat noise spectrum that enhances the use of EG&G photovoltaic silicon detectors in instrument applications.
FREQUENCY RESPONSE
The frequency response of the PV photodiode in the terminated configuration of figure 7 is a combination of intrinsic photodiode response and the RC response time produced by the parallel combination of junction plus stray capacity and shunt plus load resistance. The intrinsic photodiode response is active area dependent and is approximately equal to 0.1 MHz-square cm. The cutoff frequency as controlled by the RC time constant is determined by Equation 3:

NOTE: The UV-100B, when selected for a breakdown voltage greater than l00 volts, and when operated photoconductively at 90 volts reverse bias, will have a frequency response in excess of 150 MHz to pulsed UV and visible sources.
PV PHOTODlODE/OPERATIONAL AMPLIFIER COMBINATION
The operational amplifier. when utilized as a "current-to-voltage" converter creates a unique solution to the linearity limitations imposed on PV photodiodes by the terminating load impedance. In this transimpedance configuration, the PV photodiode views a load impedance, as shown in Equation 4, that is equal to the feedback impedance divided by the open-loop amplifier gain.

With the availability of open-loop amplifier gains that exceed 105 at DC it is evident that photodiode signal gain can be accomplished over a reasonable frequency range without the loss of response linearity. A very good approximation of photodiode/operational amplifier response linearity can be determined by the substitution of (Za) for RL in equation 1.
The open-loop gain of most commercially available operational amplifiers is flat from DC to approximately 10 Hz and frequency compensated to decay at a rate of 6 dB per octave at frequencies greater than 10 Hz. At high operating frequencies, this gain-frequency characteristic increases the value of (Za) and decreases the value of transimpedance as defined in equation 5:

The total responsivity of the operational amplifier/photodiode combination is the product of the wavelength dependent photodiode responsivity in Amperes/watt and the frequency dependent transimpedance of the closed-loop amplifier. Figure 9 is a graphical presentation of the normalized responsivity for a typical operational amplifier/photodiode with various feedback resistors; table 1 lists the absolute responsivities at specific wavelengths for each value of feedback resistor.
It should be noted that figure 9 does not reflect the closed-loop "gain peaking" that can occur because of the summation of open-loop gain and related phase angle with the transimpedance and its associated phase angle. If the open-loop gain and feedback gain are added algebraically and compared to the sum of the respective phase angles it may become evident that a sum positive gain will occur at the frequency where the sum phase angle crosses 180 degrees. This situation of positive gain at 180° phase angle is generally referred to as "gain peaking" although most designers recognize this situation as being the basis for amplifier instability.


The cause of "gain :peaking" in op-amp/photodiode combinations is the total capacity presented at the amplifier input which must be driven in the closed- loop configuration by the output voltage through the feedback impedance.. The solution to "gain peaking" is to add a small value of. capacitance across the feedback resistor to modify the closed-loop gain/phase angle relationship. Figure 10 depicts "gain peaking" in a typical op-amp/photodiode, where the photodiode is a large area, photovoltaic photodiode, and shows the results of adding a small capacitance across the feedback resistor:

PHOTODIODE/OP-AMP. NOISE CHARACTERISTICS
The various noise generators which contribute to the total output noise voltage of an op-amp/photodiode are shown in figure 11. For large area photovoltaic detectors, the output noise voltage at frequencies greater than 50 Hz is determined by the amplifier noise voltage generator, the photodiode impedance, and the feedback impedance. In most cases, "gain peaking" of the noise voltage will occur but this can be controlled as previously discussed. Below 50 Hz the total noise voltage is affected by a combination of photodiode noise current, amplifier input noise cur- rent, and the value of feedback resistance. Below 10 Hz, the magnitude of the l/f characteristic of the amplifier noise current will tend to control the magnitude of the output noise. Figure 12 is a plot of the output noise voltage for a large area PHOTOVOLTAIC detector coupled to a typical operational amplifier. It is interesting to note in figure 12 how the noise performance is improved by the addition of a 2-picofarad feedback capacitance:
Smaller active area photodiodes with larger shunt resistance and lower junction capacity will produce a lower noise and extend the gain-peaking to a higher frequency.
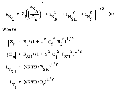
Because gain peaking is determined by the individual characteristics of feedback impedance, amplifier gain/phase angle, and photodiode source impedance it becomes an involved problem to define an accurate total noise equation. A reasonable solution is to neglect gain peaking which can be compensated and to define the total noise by its contributing sources. Equation 6 is derived from figure 11, where the various noise generators are identified, and provides a good approximation of the total noise voltage present at the output of an operational amplifier/photodiode combination:

In applications involving large area photodiodes, the amplifier input noise voltage generator is the major if not the sole contributor to the total output noise voltage. It is, therefore, important in these applications to select an operational amplifier that has a minimum value of input noise voltage. Conversely, in applications involving small area photodiodes, the optimum noise performance is obtained with an operational amplifier having a very low value associated with the input noise current generator.The dynamic range of an operational amplifier/photodiode combination is limited at the high end of the range by the permissible output voltage swing of the amplifier. Generally, the maximum unsaturated rms output voltage of an operational amplifier is limited to 10 volts. The low end of the dynamic range is limited by the total rms noise voltage produced at the amplifier output by the non-coherent summation of the individual noise sources. Further, when determining the noise voltage, it is important to consider the effects of the system noise effective bandwidth on the total noise voltage because the magnitude of the noise voltage follows as the square root of the noise effective bandwidth.
AMPLIFIER OUTPUT OFFSET VOLTAGE
The DC offset voltage present at the output terminals of a PV photodiode/op-amp combination is a function of feedback and shunt resistance values. The change in offset voltage as a function of a change in shunt resistance is defined in equation 7:

Because of the temperature coefficient of the shunt resistance is a fixed value, it is possible to restate equation 7 in the form of equation 8 to show how the offset voltage will change with temperature:

NOTE: The preceding does not include the amplifier-DC offset temperature coefficient!
ADVANTAGES OF PV DETECTOR/AMPLIFIERS OVER PHOTOMULTIPLIERS
The PV detector/amplifier combinations are a solid state replacement for photomultiplier tubes in many applications. A summary list of the many distinct advantages over photomultipliers is shown below:
1. Solid state reliability vs. vacuum tube.
2. Stability - better in both long and short term.
3. Lower cost.
4. Equal or better responsivity.
5. Equal or lower noise without cooling.
6. Wider spectral range.
7. Wider dynamic range.
8. Lower power requirements.
9. No hysteresis or memory.
10. Smaller size.
11. Eliminates need for dual beams in analytical systems.
THE ABOVE DOCUMENT WAS ORIGINALLY PUBLISHED BY AND IS COPYRIGHT © TO: EG & G ELECTRO-OPTICS, 35 CONGRESS STREET, SALEM, MASSACHUSETTS 01970, USA, October 1979.


EG & G ELECTRO-OPTICS, 35 CONGRESS STREET, SALEM, MASS. 01970,
USA.
TEL: (617) 745-3200 TWX: 710-347-6741 [Beware: October 1979 phone
numbers!]
------------------------------------
Last update to this page: Friday 17 June, 2005.